facebook pixel

Ηχητικό ντοκουμέντο: Η συνομιλία Μιωνή-Παππά που κατατέθηκε στη Βουλή

Ηχητικό ντοκουμέντο: Η συνομιλία Μιωνή-Παππά που κατατέθηκε στη Βουλή

Σεισμό προκαλεί το ηχητικό ντοκουμέντο που κατέθεσε σήμερα στην Προανακριτική Επιτροπή της Βουλής ο επιχειρηματίας Σάμπυ Μιωνής από τη συνομιλία του το 2016 με τον Νίκο Παππά σχετικά με τον Δημήτρη Παπαγγελόπουλο. Στη συνομιλία ο Νίκος Παππάς αναφέρει στον επιχειρηματία Σάμπυ Μιωνή σχετικά με τον Δημήτρη Παπαγγελόπουλο: «ο Παπαγγελόπουλος έχει τη δική του ατζέντα» και ότι «ξέρω, καταλαβαίνω και μαθαίνω» ότι «κάποιοι βγάζουν λεφτά» και, μάλιστα, «πολλά λεφτά» και ότι «έκανε το δικό του outsourcing».

Το protothema.gr φέρνει στη δημοσιότητα το ηχητικό ντοκουμέντο της συνομιλίας Μιωνή-Παππά που κατατέθηκε στη Βουλή.

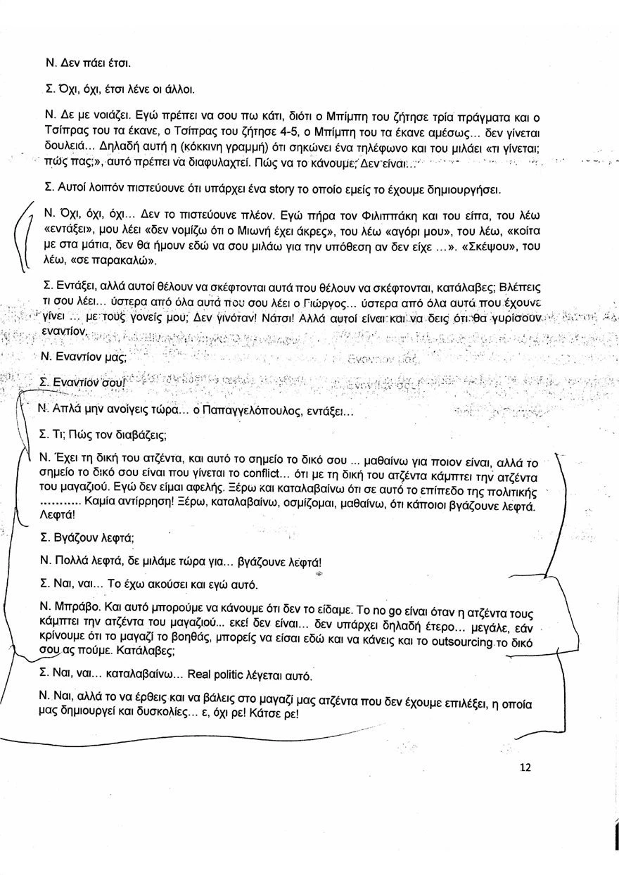
Η φράση «η ατζέντα του μαγαζιού»

Η αποκαλυπτική συνομιλία περιλαμβάνει απόσπασμα κατά το οποίο ο κ. Παππάς αναφέρει ευθέως ότι ο κ. Παπαγγελόπουλος έχει την δική του ατζέντα υποθέσεων απο τις οποίες βγάζει πολλά λεφτά. Ωστόσο, ο τότε στενός συνεργάτης του πρωθυπουργού Αλέξη Τσίπρα φέρεται να υποστηρίζει ότι το Μέγαρο Μαξίμου δεν έχει πρόβλημα με αντίστοιχες δραστηριότητες μελών της κυβέρνησής αρκεί να μην έρχονται σε σύγκρουση «με την ατζέντα του μαγαζιού»! Με τη φράση «ατζέντα του μαγαζιού» ο κ. Παππάς αναφέρεται εμφανώς στις επιθυμίες και προτεραιότητες του τότε Μεγάρου Μαξίμου. Ο κ. Παππάς με ανακοίνωσή του σημειώνει ότι οι διάλογοι έχουν παραποιηθεί και θα προσφύγει στη Δικαιοσύνη.

Ακούστε το απόσπασμα της συνομιλίας Μιωνή και Παππά για Παπαγγελόπουλο:

Διαβάστε την απομαγνητοφώνηση του αποσπάσματος της συνομιλίας για τον Δημήτρη Παπαγγελόπουλο:

1-B3Q6f.jpg

Στη συνομιλία τους οι δύο άντρες αναφέρθηκαν και στη σύζυγο του πρωθυπουργού Μαρέβα Γκραμπόφκσι. Ο κ. Μιωνής ανέφερε πως ο κ. Παππάς του ζήτησε να «να βγει να μιλήσει» ο δικηγόρος Σταύρος Παπασταύρου για τη κ. Γκραμπόφσκι.

Ακούστε το απόσπασμα για Μαρέβα Γκραμπόφσκι:

Διαβάστε την απομαγνητοφώνηση της συνομιλίας για τη Μαρέβα Γκραμπόφσκι:

2-4Jrds.jpg

Ακούστε ολόκληρο το ηχητικό ντοκουμέντο της συνομιλίας:

ΣΧΕΤΙΚΑ ΑΡΘΡΑ

ΔΕΙΤΕ ΠΕΡΙΣΣΟΤΕΡΑ

Ενημερωθείτε πρώτοι για όλα τα τελεταία νέα, απευθείας στο email σας